Prodej pozemku, Kolín - Sendražice, 4188 m2

Kolín, okres kolín, Sendražice

8 781 398 Kč /za nemovitost HYPOTÉKA od 39 248 Kč /za měsíc
Exkluzivní partneři v Kolíně

Pojištění a finance

Informace k pozemku

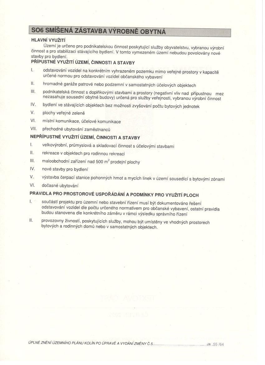
Ve výhradním zastoupení majitele Vám nabízíme hezký, rovinatý a velmi dobře přístupný komerční pozemek o velikosti 4.188 m2, který je v Územním plánu města Kolína po úpravě po vydání změny č. 5 z června 2022 vedený v kategorii S06 SMÍŠENÁ ZÁSTAVBA VÝROBNĚ OBYTNÁ. Pozemek se nachází v městské části Kolín Sendražice, ulice V Jezírkách a je přístupný z asfaltové komunikace patřící městu Kolín. Veškeré inženýrské sítě jsou v dosahu. Tento pozemek o velikosti 4.188 m2 se skládá ze dvou pozemků vedených v katastru nemovitostí pod parcelním číslem 513/10 o výměře 1.838 m2 a parcelním číslem 513/11 o výměře 2.350 m2, druh pozemku orná půda. Výhodou této nabídky je velmi výhodná poloha. Do průmyslové zóny Kolín Ovčáry je to pouhé 2 km, na nájezd na dálnici D11 necelých 11 km. Vzhledem k tomu, že se jedná o ojedinělou nabídku s výhodnou polohou a příznivou cenou (2.096,80 Kč/m2), tento pozemek ke koupi doporučuji.

Parametry pozemku

Cena
8 781 398 Kč /za nemovitost Spočítat hypotéku
Aktualizováno
30. 4. 2026
Adresa
Kolín, okres kolín, Sendražice
ID
24SL107
Vlastnictví
Osobní
Plocha pozemku
4188 m2
Plyn
Plynovod
Odpad
Veřejná kanalizace

Kontaktovat makléře

Realitní kancelář

Logo EVROPA realitní kancelář

EVROPA realitní kancelář

Václavské náměstí 806/62, Praha

Chystáte se prodat nemovitost?
Pomůžeme Vám!

Máte zájem o tento pozemek?

Tímto, v souladu s nařízením Evropského parlamentu a Rady (EU) 2016/679, v platném znění, prohlašuji, že mi je alespoň 16 let a uděluji tak svůj souhlas se zpracováním zadaných údajů (jméno, telefon, e-mail, ip adresa) společnosti B3 Technology, s.r.o., IČ: 07330600, se sídlem Novostavby 126/23, 435 11 Lom (správce dat), za účelem předání dotazu z tohoto formuláře Vámi vybranému inzerentovi a zpětného kontaktování mé osoby. Osobní údaje bude správce zpracovávat manuálně i automaticky přímo prostřednictvím svých zaměstnanců. Informace předané tímto formulářem budou uloženy v databázi správce maximálně po dobu 10 let. Odvolání souhlasu s uložením a zpracováním poskytnutých dat lze e-mailem na info@vitio.cz. V případě podezření na neoprávněné použití Vámi poskytnutých údajů máte právo předat podnět k šetření Úřadu pro ochranu osobních údajů. Více informací
Chystáte se prodat nemovitost?
Pomůžeme Vám!
Theleadway banner

Inzerát si prohlédlo 14 lidí

Prodejce

Aleš Mojžíšek

Aleš Mojžíšek

Hlídací pes

Chcete dostávat emailem podobné nabídky prodeje pozemků (ostatní) v Kolíně?

Podobné nemovitosti